Чтобы быть здоровым и красивым, нужно потреблять как можно меньше жиров, уверены многие. Но так ли это? Жиры являются важнейшим источником энергии и помогают организму усваивать витамины. Чем отличаются насыщенные жиры от ненасыщенных и что такое трансжиры?
ПРИРОДА ЖИРОВ
Обычные жиры животного и растительного происхождения — это триглицериды жирных кислот (сложные соединения глицерина и органических кислот). Именно строение молекул жирных кислот и определяет свойства жира. Если в его составе много насыщенных кислот, способных укладываться в плотные структуры, такой жир будет твёрдым. Жидкие масла в основном состоят из ненасыщенных жирных кислот. Их неровная структура не позволяет жиру затвердеть.
Трансжиры тоже состоят из ненасыщенных жирных кислот, но отличаются транс-конфигурацией двойной связи. Те трансжиры, которые попадают нам на стол, как правило, образовались в результате термической обработки природных ненасыщенных жирных кислот из растительного масла
НАСЫЩЕННОСТЬ КИСЛОТ
Насыщенные жиры состоят из кислот с простыми одинарными углеродными цепочками. В них нет двойных связей и свободных мест для атомов водорода. Наиболее распространённые жирные кислоты — это стеариновая (содержится в бараньем жире и растительных маслах), пальмитиновая (содержится в пальмовом масле, в свином сале). Ненасыщенные жирные кислоты содержат по крайней мере одну двойную связь в углеродной цепи. Наиболее полезными для человека являются такие кислоты, как линолевая и альфа-линолевая, больше известные как омега-6 и омега-3.
Насыщенная жирная кислота

Ненасыщенная жирная кислота с цис-конфигурацией двойной связи

Ненасыщенная жирная кислота с трансконфигурацией двойной связи

В процессе гидрирования атомы водорода присоединяются к ненасыщенным органическим веществам. В результате почти все двойные связи превращаются в одинарные, ненасыщенные соединения — в насыщенные, а жидкие жиры — в твёрдые.
В природных жирах практически всегда встречается цис-конфигурация. Но поскольку транс-конфигурация энергетически выгоднее, при увеличении температуры менее стабильный цисизомер переходит в более стабильный транс-изомер. Поэтому трансжиры могут образовываться при всех процессах, связанных с нагреванием. Например, при гидрировании растительных жиров для получения маргарина, а также при обжарке пищи на растительном масле.
Последнее обстоятельство важно: гидрированные и трансжиры часто путают, но это неправильно. Ведь полностью гидрированный жир не может проявлять цис-транс-изомерию из-за отсутствия двойных связей. Всё дело в том, что процесс гидрирования растительных жиров сопровождается нагреванием. При этом часть ненасыщенных жиров превращается в насыщенные, а оставшаяся может поменять цис-конфигурацию на транс-. В результате помимо основного продукта получаются и трансжиры. Нагревая растительное масло на сковородке, мы легко можем «приготовить» такой жир.
Естественно, образование трансжиров не является главной целью получения маргарина или приготовления картофеля фри — это побочный процесс. Но обычно гидрированные растительные жиры не очищают от трансжиров.
Во-первых, это непросто, ведь физические свойства разных жиров сходны. А во-вторых, транс жиры наряду с остатками природных цис-аналогов, не успевших прореагировать с водородом, придают мягкость гидрированным жирам. Химики-технологи масложировых производств говорят, что, если из маргарина удалить все трансжиры, его просто не удастся намазать на хлеб.
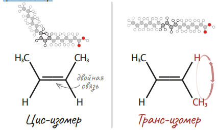
ЦИС ИЛИ ТРАНС
Группы атомов могут по-разному располагаться относительно двойной связи. Если одинаковые группы находятся по одну сторону от двойной связи, это цис-изомер, по разные — транс-изомер.

ПРИРОДНЫЕ ТРАНСЖИРЫ
Помимо искусственных трансжиров, которые образуются из природных жирных кислот в процессе получения маргарина или при готовке, встречаются трансжиры животного происхождения. Однако их содержание в мясе и молоке сравнительно невелико (1–6% от общего содержания жиров). Трансжиры образуются в желудке жвачных животных (коровы, овцы и т. д.) в результате воздействия бактерий.
ЧЕМ ОНИ ОПАСНЫ
Европейские и американские службы, контролирующие качество продуктов питания, уже давно рекомендуют производителям отказаться от частично гидрированных жиров из-за наличия в них трансжиров. Требование вполне обоснованное: потребление ненасыщенных жирных кислот с транс-конфигурацией двойных связей увеличивает риск развития сердечнососудистых заболеваний.
Если конкретнее, трансжиры снижают концентрацию в крови «хорошего» холестерина (липопротеинов высокой плотности) и увеличивают концентрацию «плохого» (липопротеинов низкой плотности). Кроме того, уменьшаются размеры частиц «плохого» холестерина, в результате чего они более эффективно откладываются на стенках сосудов, увеличивая риск образования холестериновых бляшек.
В целом потребление трансжиров оказывает весьма негативное влияние на содержание и состав липидов в крови. Есть данные, что трансжиры способствуют развитию воспалительных процессов. Дело в том, что ферменты, отвечающие за пищеварение, катализируют расщепление цис-конфигураций жирных кислот, а транс-формы этих же кислот становятся для организма «неправильными» и не могут встроиться в переработку жиров. В результате они собираются в жировые отложения.
В большинстве развитых стран давно установлены нормы содержания трансжиров в продуктах питания. Так, многие европейские государства придерживаются рекомендации Всемирной организации здравоохранения: не более 1% в пересчёте на энергетическую ценность продукта. Например, в Великобритании, согласно отчёту Министерства здравоохранения за 2014 год, на трансжиры приходится всего 0,6–0,7% от нормы калорий.
Однако говорить, что вся Европа перешла на правильное питание, тоже не приходится. Средний европеец перебирает рекомендованную норму насыщенных жиров (11% от калорийности питания), таких как сливочное масло или жирные сорта мяса, а избыточное потребление этих жиров тоже нельзя назвать полезным для здоровья.
Связь между потреблением трансжирных кислот животного и опасностью для здоровья не выявлена. Это может быть следствием того, что твёрдые жиры животного происхождения содержат гораздо меньше трансжиров, чем полученные промышленным способом из растительных.
МЕНЬШЕ ТРАНСЖИРОВ
Как быть тому, кто не хочет потреблять трансжиры? Совет первый и почти исчерпывающий — внимательно читать этикетки. Некоторые производители, описывая состав жиросодержащего продукта, ставят маркировку trans fat free (без трансжиров). На самом деле это не совсем «без»: в продуктах с такой маркировкой должно быть не более 0,2 г трансжиров на 100 г всех жиров в этом продукте. Если такого ярлычка нет, следует посмотреть ингредиенты. Наличие в списке «гидрированных жиров», «гидрированных растительных масел», «частично гидрированных жиров» означает, что трансжиры здесь точно есть.
И напоследок: что делать, если нет времени читать этикетки, а есть транс жиры не хочется? В этом случае следует исключить или хотя бы ограничить потребление ряда продуктов:
- Попкорн в кинотеатрах. В отличие от безвредного попкорна, который мы делаем дома в микроволновке, попкорн в кинотеатре обычно покрывают слоем масла, происхождение которого не всегда удаётся отследить.
- Блюда глубокой прожарки в ресторанах быстрого питания (картофель фри, жаренные во фритюре кусочки мяса, птицы и рыбы). Их готовят, погружая в кипящее растительное масло. Чем дольше масло используется, тем больше вероятность образования в нём трансжиров. Конечно, существуют нормы по обновлению масла во фритюре, но соблюдаются ли они?
- Картофельные и иные чипсы — их тоже окунают в горя
- Фабричная выпечка (печенье, крекеры, пончики, пирожные, особенно жирные), для приготовления которой используют маргарин. Кстати, эти продукты опасны не только трансжирами, но и избыточным содержанием сахара.
Не стоит, впрочем, забывать, что опасным вещество делает не формула, а доза. Поэтому совсем отказываться от перечисленных продуктов не нужно — просто не делайте их частью ежедневного рациона.